网站首页
网上挂号
院长信箱
网站首页
妇幼概况
医院简介
医院章程
医院平面图
医院荣誉
医院交通
新闻中心
院内动态
辖区管理
新媒体矩阵
临床服务
科室介绍
专家介绍
门诊指南
就诊流程
健康服务
体检中心
健康有约
孕妇学校
儿童早教
妇幼科普
党群工作
党群文化
清风徐来
科研教学
教学园地
优生优育遗传医学研究所
博士后科研工作站
药物临床试验
医院公告
人才招聘
招标信息
服务项目公示
环境公示
其他公示
网上医院
预约挂号
互联网医院
您当前位置:
首页
>
医院公告
>
服务项目公示
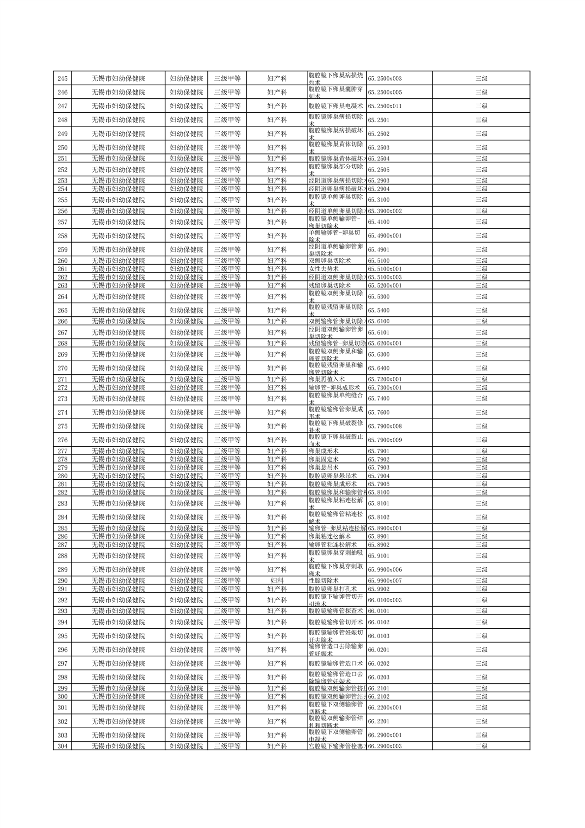
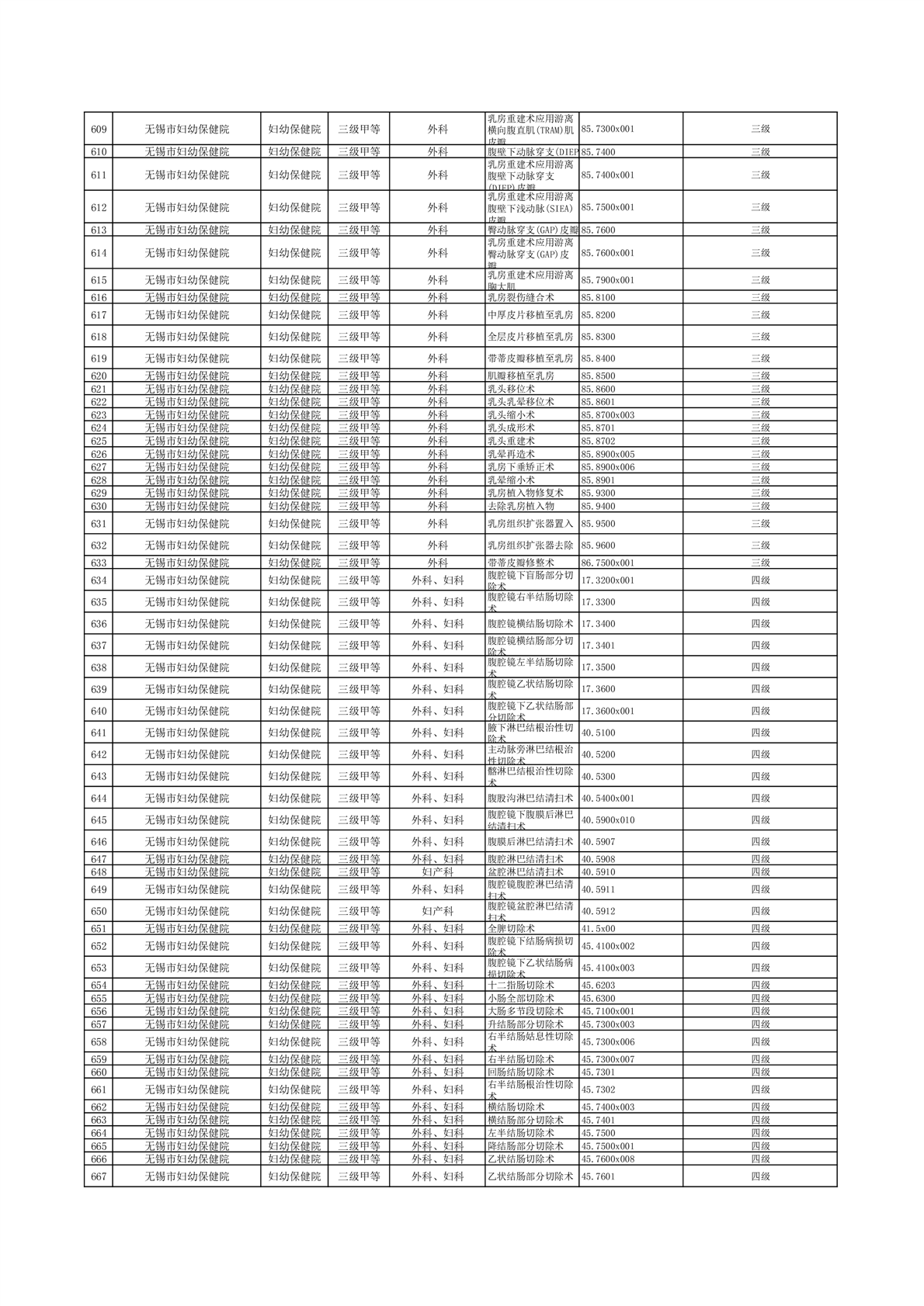
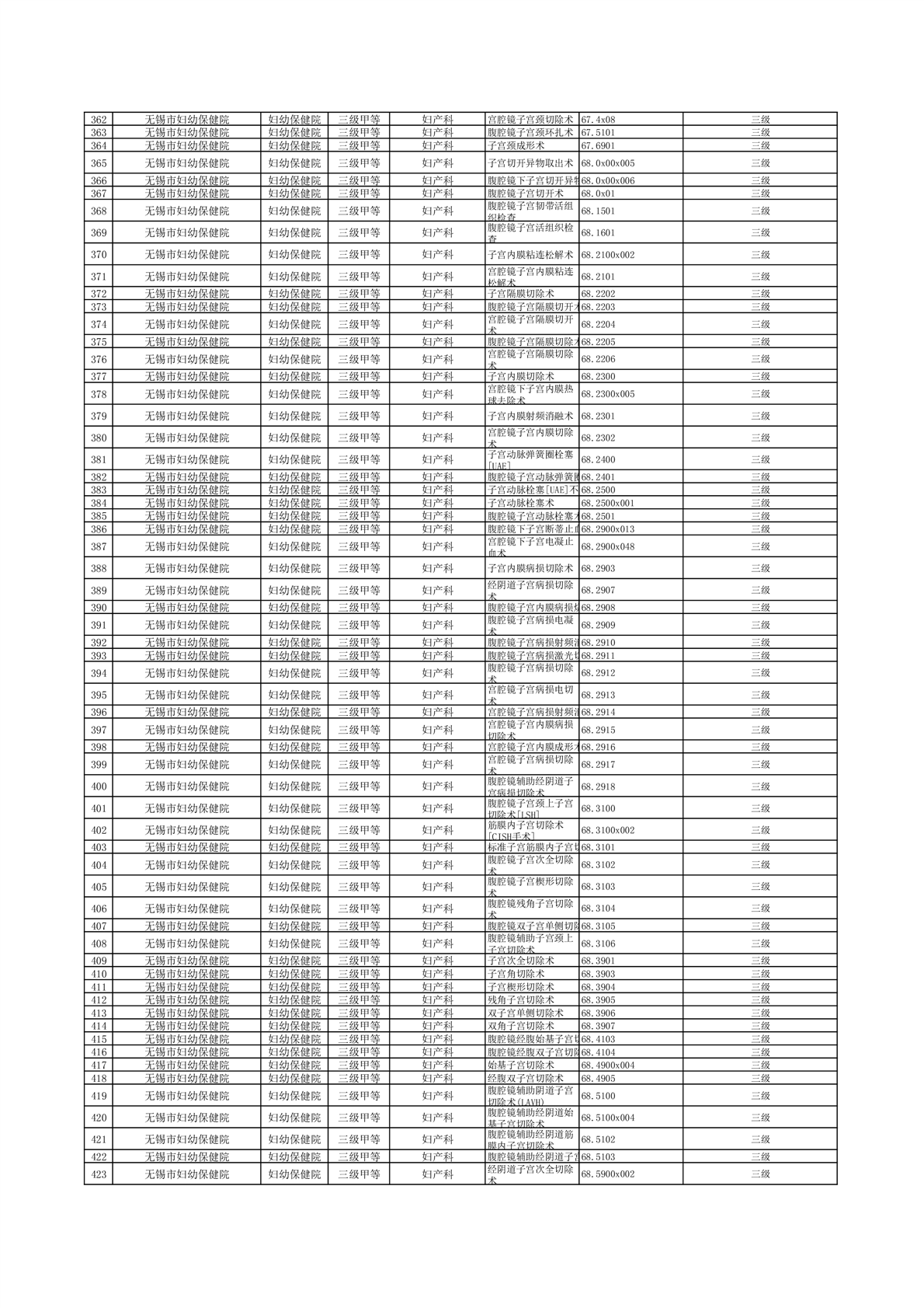
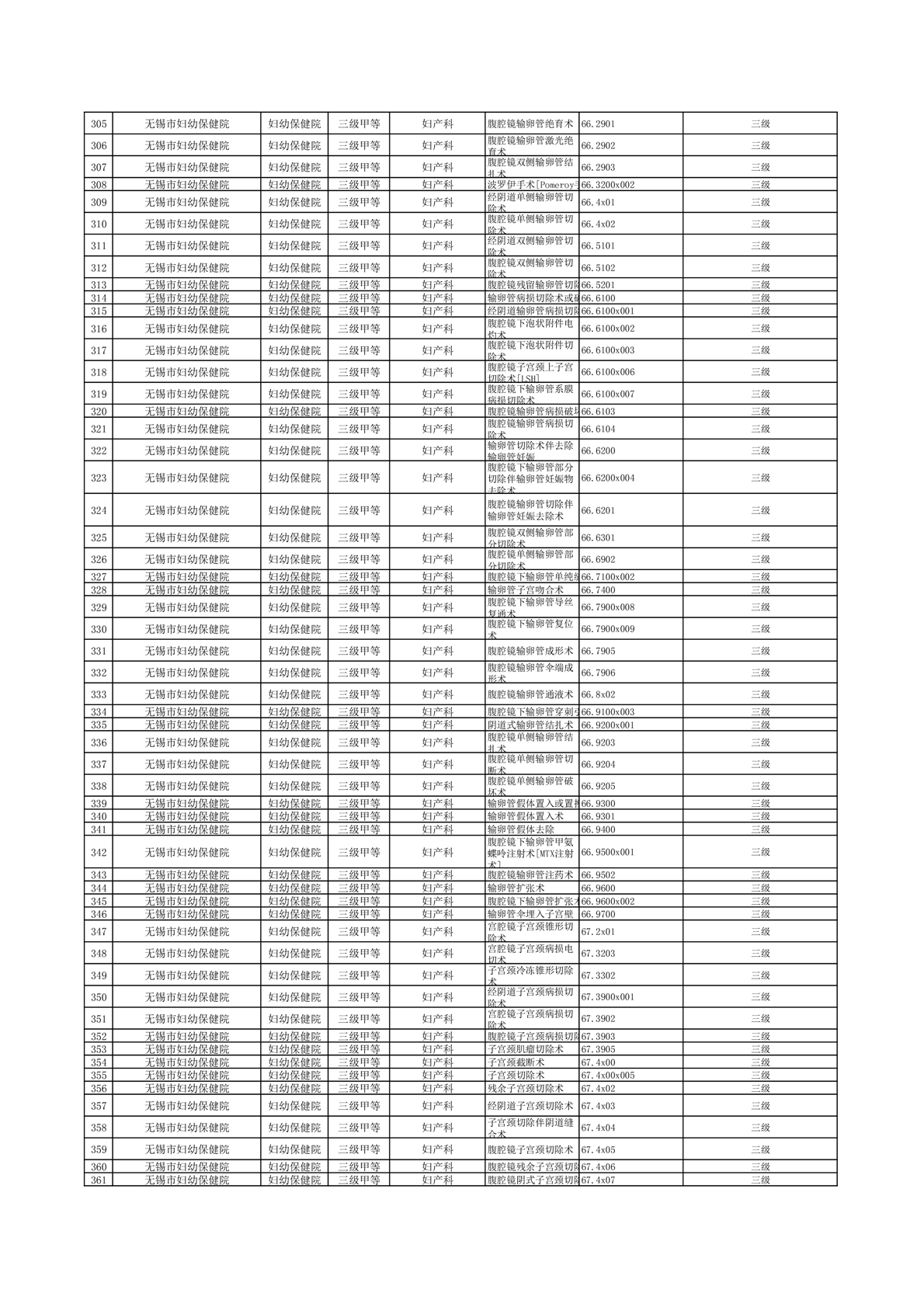
无锡市妇幼保健院 2025年度开展三、四级手术目录一览表
点击数: 添加日期:2025年10月14日
无锡市妇幼保健院 2025年度开展三、四级手术目录一览表.pdf
人才招聘
招标信息
服务项目公示
环境公示
其他公示
服务项目公示
无锡市妇幼保健院2025年日间手术目录
无锡市妇幼保健院 2025年度开展三、四级手术目...
无锡市妇幼保健院孕检项目公示
产前诊断、产前筛查项目列表
委托第三方检验检测项目公示
孕期主要检查检验项目公示
无锡市妇幼保健院孕检项目公示
版权所有:无锡市妇幼保健院
ICP备案号:
苏ICP备05017912号
公安备案号:
32021302000162
安全支持:江苏骏安检测